Coronavirus: 1127 guariti, un morto e 119 nuovi casi

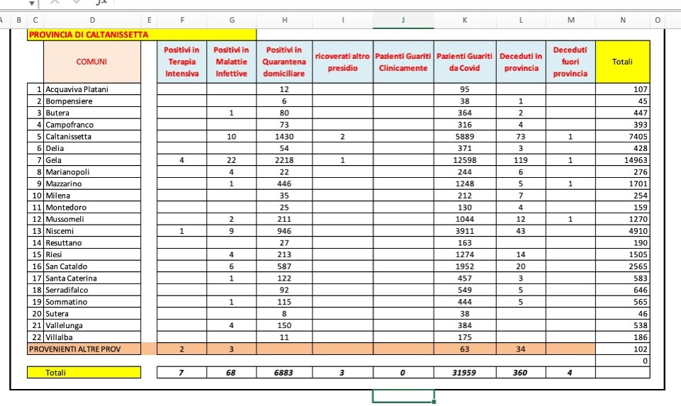
Caltanissetta: Drastico calo dei contagi. Ieri si sono attestati a 2245. Nelle ultime 24 ore riscontro di 472 pazienti positivi al SARS CoV-2, tutti in isolamento domiciliare: 139 pazienti di Caltani...

A cura di Redazione Redazione
28 gennaio 2022 17:16
Coronavirus: 1127 guariti, un morto e 119 nuovi casi -
Condividi

Caltanissetta: Drastico calo dei contagi. Ieri si sono attestati a 2245. Nelle ultime 24 ore riscontro di 472 pazienti positivi al SARS CoV-2, tutti in isolamento domiciliare: 139 pazienti di Caltanissetta, 119 di Gela, 66 di Niscemi, 50 di San Cataldo, 16 di Mazzarino, 16 di Mussomeli, 13 di Santa Caterina Villarmosa, 7 di Campofranco, 7 di Riesi, 6 di Delia, 5 di Acquaviva Platani, 5 di Butera, 5 di Serradifalco, 4 di Vallelunga Pratameno, 3 di Montedoro, 3 di Resuttano, 3 di Sommatino, 2 di Bompensiere, 1 di Marianopoli, 1 di Milena e 1 di Sutera. Ricoverati in degenza ordinaria 5 pazienti di Gela. Dimessi dalla degenza ordinaria: 4 pazienti di Gela e 1 di Caltanissetta. Deceduto 1 paziente di Gela positivo al SARS CoV-2. Guariti: 1127 pazienti di Gela, 265 di Caltanissetta, 164 di Mazzarino, 151 di Vallelunga Pratameno, 133 di San Cataldo, 114 di Niscemi, 80 di Riesi, 59 di Sommatino, 43 di Delia, 36 di Mussomeli, 28 di Campofranco, 26 di Serradifalco, 20 di Santa Caterina Villarmosa, 18 di Marianopoli, 17 di Milena, 12 di Butera, 9 di Montedoro, 8 di Villalba, 6 di Sutera e 1 di Acquaviva Platani.

Segui Il Gazzettino di Gela